Kuldemedier som kan rammes av PFAS-forbud
Både kjente HFK-medier som R134a og nyere HFO-er som 1234yf kan bli omfattet av begrensninger som etterhvert vil komme for PFAS.
Klimapåvirkningen av gamle f-gasser reguleres av f-gass-forordningen, mens en del nye brytes raskt ned og vil bli omfattet av PFAS-regulering, påpekte Audun Heggelund på nettseminar om kuldemedier.
Perfluorerte stoffer (PFAS) er en stor gruppe menneskeskapte kjemiske forbindelser. Norge er ett av fem land som jobber med et forslag for å begrense bruken av PFAS.
– Hovedbekymringen rundt PFAS handler om at de er svært lite nedbrytbare, fortalte Audun Heggelund i Miljødirektoratet på seminaret Dette bør du vite om fremtidens kuldemedier, som NOVAP arrangerte i samarbeid med Miljødirektoratet og VKE.
Derfor forblir PFAS i miljøet svært lenge hvis de først slippes ut, og kan forurense grunnvann, drikkevann, dyr, planter – og mennesker, hvor de kan gi ulike helseskader. Kommende restriksjoner i bruk av PFAS er relevant for f-gasser. Noen f-gasser er PFASer ut fra definisjonen, poengterer Heggelund. Det gjelder blant annet:
- HFO-R1234yf
- R134a
Kan brytes ned til miljøskadelig forbindelse
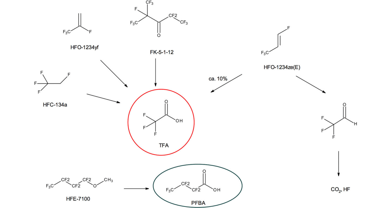
En del PFAS-er brytes ned til stoffet trifluoreddiksyre (TFA), som også er en PFAS. TFA er blant annet funnet i forhøyede nivåer i nedbør og drikkevann.
- HFO-R1234yf degraderer 100 % til TFA
- HFO-R1234ze vil degradere til 10 % TFA
- HFK-R134 kan brytes ned til opp mot 20 % TFA
Forslag klart til sommeren
Hvordan bruken skal begrenses er på langt nær bestemt. Først skal Norge og de andre landene lage et restriksjonsforslag som etter planen skal overleveres EU-kommisjonen i juli i år.
– Så kommer en offentlig høring i seks måneder. Da er det kjempeviktig at industri og andre interessenter kommer med innspill. Her har dere muligheten til å bli hørt, poengterer Heggelund. Endelige restriksjoner vil ikke tre i kraft før årsskiftet 2024-2025.
Mer om PFAS og relevante lenker finner du i Audun Heggelunds presentasjon.
Klimapåvirkningen av gamle f-gasser reguleres av f-gass-forordningen, mens en del nye brytes raskt ned og vil bli omfattet av PFAS-regulering, påpekte Audun Heggelund på nettseminar om kuldemedier.