Nyheter

Her er de vanligste f-gass-syndene

Her er de vanligste f-gass-syndene

To avvik utmerket seg i Miljødirektoratets tilsyn med f-gass-forordningen i fjor: Manglende bedriftssertifisering og sviktende internkontroll.
Sett av en milliard til enøk hvert år!

Sett av en milliard til enøk hvert år!

Det er oppfordringen til den nye regjeringen fra Varmepumpeforeningen og 20 andre organisasjoner. De foreslår en strømsparepakke som kan iverksettes raskt.
Nå blir returflaskene mye lettere

Nå blir returflaskene mye lettere

Fra neste år kan du fylle brukte HFK-medier på gjennomsiktige komposittflasker som veier under halvparten av stålflasker.
– Utrolig skuffende at enøk er utelatt

– Utrolig skuffende at enøk er utelatt

Regjeringen vil bruke nesten 3 milliarder kr på å gi folk billigere strøm neste år, men gjør ingen ting for å støtte energieffektivisering og varmepumper.
Isovator utvider krav til loddeprøve for f-gass

Isovator utvider krav til loddeprøve for f-gass

Fra 1. juli 2022 er det obligatorisk loddeprøve på praktisk eksamen også for f-gass kategori 2, ikke bare kategori 1 som i dag.
SV vil ha enøk-milliard

SV vil ha enøk-milliard

I sitt alternative statsbudsjett vil SV sette av totalt 1,1 milliard kr til energieffektivisering i 2022. – Veldig positivt, fastslår Bård Baardsen i NOVAP.
Lær av gode bergvarmeprosjekter

Lær av gode bergvarmeprosjekter

Pluss og minus ved energisentralen til Moholt 50|50? Hvor godt fungerer sesonglagring av varme? Er solfangere lønnsomme i praksis? Lær av andres gode og dårlige valg.
Energieffektivisering bidrar til lavere strømpriser

Energieffektivisering bidrar til lavere strømpriser

Se hvor mye og hør hva politikere vil gjøre med energieffektivisering i opptak fra frokostseminar.
1900 fagfolk er omfattet. Er du blant dem?

1900 fagfolk er omfattet. Er du blant dem?

Så mange personer må fornye F-gass-sertifikatet i 2022 for å kunne drive lovlig. 1000 må gjøre det før 1. juli.
Miljødirektoratet følger opp alle tips

Miljødirektoratet følger opp alle tips

– De siste årene har vi fulgt opp alle tipsene om manglende f-gass sertifisering, opplyser Mathieu Veulemans i Miljødirektoratet.
Vil stramme inn ulovlig salg

Vil stramme inn ulovlig salg

Det holder ikke at en kunde oppgir sertifikatnummer eller navn på en sertifisert bedrift for å hente en varmepumpe, poengterer Miljødirektoratet.
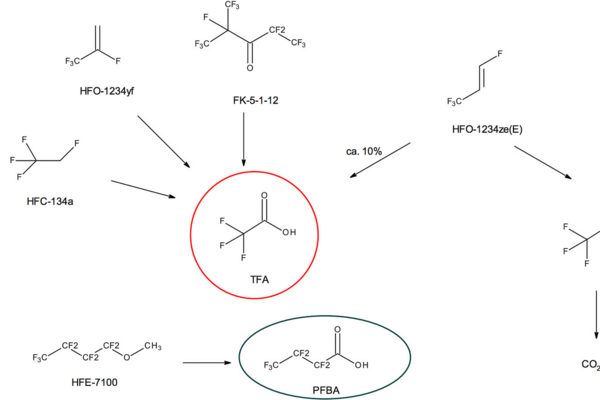
Kuldemedier som kan rammes av PFAS-forbud

Kuldemedier som kan rammes av PFAS-forbud

Både kjente HFK-medier som R134a og nyere HFO-er som 1234yf kan bli omfattet av begrensninger som etterhvert vil komme for PFAS.
Stadig mer lønnsomt å returnere HFK

Stadig mer lønnsomt å returnere HFK

– Det vil svare seg mer og mer å levere inn også mindre mengder gass, påpeker sjefingeniør Alice Gaustad i Miljødirektoratet.
Enova-millioner til kommunale boliger

Enova-millioner til kommunale boliger

Regjeringen har i år satt av 100 millioner til energitiltak som kan gi lavere strømregninger i kommunale boliger. Enova skal forvalte pengene.
Ekstremt salg i fjerde kvartal 2021

Ekstremt salg i fjerde kvartal 2021

Nå peker pilene oppover også for luft-til-vann- og væske-til-vann-varmepumper, viser ferske tall fra Prognosesenteret.
– Vi forventer bedre støtteordninger fra Enova

– Vi forventer bedre støtteordninger fra Enova

– Støtte til smart strømstyring og økt støtte til solceller er et skritt i riktig retning, men vi forventer flere tiltak for at Enova skal klare å dele ut midlene som er satt av til boligeiere.
Lynkurs i naturlige kuldemedier

Lynkurs i naturlige kuldemedier

Gikk du glipp av våre seminarer om naturlige kuldemedier? Lær deg det viktigste om CO2, ammoniakk og propan ved å se seminarene i opptak.
Nettselskaper og organisasjoner med felles anbefalinger til ny nettleiemodell

Nettselskaper og organisasjoner med felles anbefalinger til ny nettleiemodell

En rekke nettselskaper og organisasjoner har samlet seg om en felles anbefaling om hvordan ny nettleiemodell bør utformes. Bak enigheten ligger et felles ønske om økt nettutnyttelse av hensyn til miljø og for å gi så lave nettkostnader som mulig for norske strømkunder.
– Sett av en milliard til energitiltak i bygg

– Sett av en milliard til energitiltak i bygg

Slik kan Norge unngå kraftkrise og framtidige strømprissjokk, mener NOVAP og 26 andre organisasjoner.
Bred front bak anbefalinger for ny nettleie

Bred front bak anbefalinger for ny nettleie

Ny nettleie må være enkel og forståelig, og stimulere til både energieffektivisering og bedre utnyttelse av nettet, mener Norsk Varmepumpeforening.
EU vil doble installasjon av varmepumper

EU vil doble installasjon av varmepumper

Det er deler av oppskriften for å redusere EUs avhengighet av fossil energi fra Russland og takle høye energipriser.
Nå gjør Miljødirektoratet tilsyn av nettbutikker

Nå gjør Miljødirektoratet tilsyn av nettbutikker

– Det er supert at direktoratet følger opp tips fra oss og andre, sier kurs- og informasjonsansvarlig Einar Gulbrandsen i Norsk Varmepumpeforening.
R32 kan bli forbudt fra 2027

R32 kan bli forbudt fra 2027

EU-kommisjonens forslag til ny f-gass-forordning vil forby salg av produkter som splitt-anlegg med GWP over 150 fra 2027, og skjerper kravene til kompetanse.
– Rydd opp i mandatet til Enova

– Rydd opp i mandatet til Enova

Det er det viktigste politikere kan gjøre for å sette fart på energieffektivisering, mener Elektroforeningen og Norsk Varmepumpeforening.
Veksten fortsatte i første kvartal

Veksten fortsatte i første kvartal

– Med høye strømpriser er det naturlig at salget har gått bra, sier daglig leder Rolf Iver Mytting Hagemoen. I første kvartal økte det 13 % sammenlignet med rekordåret 2021.
400 millioner til energitiltak i husholdninger

400 millioner til energitiltak i husholdninger

Fra neste år skal Husbanken få ansvar for å støtte energitiltak i husholdninger med lave inntekter, finansiert av påslaget på nettleien – 400 millioner kr årlig.
– Byråkrater mest negative til enøk-støtte

– Byråkrater mest negative til enøk-støtte

Det er hovedgrunnen til at Norge fortsatt mangler en plan for å nå målet om 10 TWh energisparing i bygg, seks år etter at målet ble vedtatt.
– Nå kan ikke regjeringen somle med enøk lenger

– Nå kan ikke regjeringen somle med enøk lenger

Den må komme med tiltak som gjør at vi får spart minst 1,5 TWh i norske bygninger neste år, mener 26 organisasjoner.
Venter endringer for f-gass-sertifisering

Venter endringer for f-gass-sertifisering

Naturlige kuldemedier kan bli omfattet av kravene til opplæring og sertifisering som gjelder f-gasser, ifølge Miljødirektoratet.
Fristen for f-gass-fornyelse er endelig

Fristen for f-gass-fornyelse er endelig

– Nå er det ikke mulig å slippe unna krav om å fornye f-gass sertifikat som er fem år eller eldre, fastslår fagdirektør Alice Gaustad i Miljødirektoratet.
Tilbake
Les flere artikler